Take a step forward and touch the sky | GREEN ENERGY GREEN CITY | The Symbol Of lights | Women Empowerment | Bright Future For All | Unlocking Financial Potential | Your Success is Our Commitment |

Suryoday Rashtranavnirman Sangathan

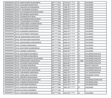
Mahila Mitra Member list

Thank You,...